

産品描述
羟基MQ矽樹脂
英文名稱:Silicon Resin
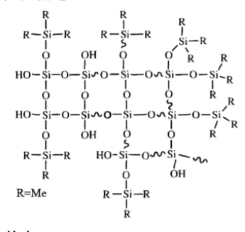
分子結構如圖:
分子量:8000-11000
産品特性
YDSR1002羟基MQ矽樹脂是四烷氧基矽烷(Q 單元)和三甲基乙氧基矽烷( M 單元) 的共水解産物。YDSR1002可以看作是三甲基矽烷基團封端的聚矽酸三維網絡結構,含有部分乙氧基和羟基官能團。它的平均分子量可以通過M 和Q 單位的比率來精确調解。YDSR1002有機矽樹脂中,M/Q值約爲0.65,爲水玻璃法MQ矽樹脂。
YDSR1002羟基矽樹脂 是一種高純度白色粉末或甲苯液透明液體,在生産過程中不混入任何揮發雜質。所以,本品除微量脂肪烴外,幾乎不含其他雜質。由于YDSR1002具有均勻的球狀顆粒度,細粉含量極低,因此具有優異的流變特 (流動 )。
産品應用
●YDSR1002羟基MQ矽樹脂 作爲一種基礎原料,可用于消泡劑和泡沫穩定劑及加成壓敏膠和透明補強填料。
●在高溫消泡劑領域: YDSR1002 能有效的改善耐高溫性、消泡性和抑泡性。與矽酸酯類MQ相比較,由于YDSR1002分子緊密度更低,所以用它生産的消泡劑在消泡和抑泡性上,都要比矽酸酯的MQ效果更理想。爲了滿足消泡劑在高溫體系和油墨體系裏的更好表現,YDSR1002特别進行了低分子的處理,使小分子含量小于0.1%,以及分子的均一性,保證乳化後産品的穩定性。
●離型/脫模領域: YDSR1002是一種高效高相容的脫模劑。特别是聚氨酯加工工藝中,本品可用于制備高固含量的脫模劑原液或者溶劑型抗粘劑,具有優異的脫模 ,避免在模具上積聚,保護成型件表面光滑。作爲有機矽聚氨酯的脫模劑,對于成型件的後塗裝能,主要取決于脫模劑的配方,建議根據不同應用條件進行測試調整。
●壓敏膠行業:YDSR1002是改善有機矽壓敏膠的内聚強度以及調整剝離力。
●其他行業: YDSR1002對彈性體等有明顯的補強作用;與有機矽材料和有機載體良好兼容 , 固化後形成一層持久性膜 。用作防刮、絕緣等防護性塗層的中間體,粉體材料的拒水性處理 ;
●可做彩妝,護膚品以及防曬霜的添加劑;
熱穩定性達 300 ℃ ,良好的耐候性,良好的電氣絕緣性能 ,良好的防潮拒水性能 ,
供貨形式
粉末型、甲苯液、矽油分散體
産品包裝
110kg/箱20kg/箱或25kg/桶
産品數據
|
性質 |
|
單位 |
數值 |
|
|
外觀 |
|
|
白色粉末或透明液體 |
|
|
粘度(50%甲苯溶液) |
|
mm2/s |
4.0 |
|
|
鹽酸含量(50%甲苯溶液) |
|
ppm |
≤10 |
|
|
粉末堆積密度 |
|
g/cm3 |
0.25 |
|
|
分子量 |
|
|
5000±1000 |
|
|
平均顆粒度 |
|
μm |
100 |
|
|
羟基含量 |
|
% |
4-5 |
|
|
M/Q值 |
|
|
0.60∽0.80 |
|
|
溶解性 YDSR1002 |
||||
|
羟基矽油 |
● |
|||
|
甲基矽油 |
● |
|||
|
乙烯基矽油 |
● |
|||
|
白油 |
○ |
|||
|
蓖麻油 |
○ |
|||
|
石蠟 52 |
○ |
|||
|
PE蠟 |
○ |
|||
|
異丙醇 |
● |
|||
|
乙醇 |
● |
|||
|
水 |
○ |
|||
|
甲苯 |
● |
|||
|
甘油 |
○ |
|||
|
丙二醇 |
○ |
|||
|
乙酸乙酯 |
● |
|||
|
C9-C13異鏈烷烴 |
● |
|||
○=不溶 ●=溶解(≥20%)
産品儲存
本産品在5℃至30℃的條件下在原裝密封容器中可以至少保存14個月。儲存時間超過标簽所标注的較好的使用期限并不意味着該産品不能繼續被使用。但是在這種情況下,爲了保證産品質量,需要重新檢查産品的相關質量安全信息 詳細的産品安全信息歡迎向我們的技術中心索取原料安全數據單。
友情鏈接:
蓋德化工